内蒙古能源职业学院2025年第二次单独招生考试成绩公示-内蒙古能源职业学院
  • 领导信箱
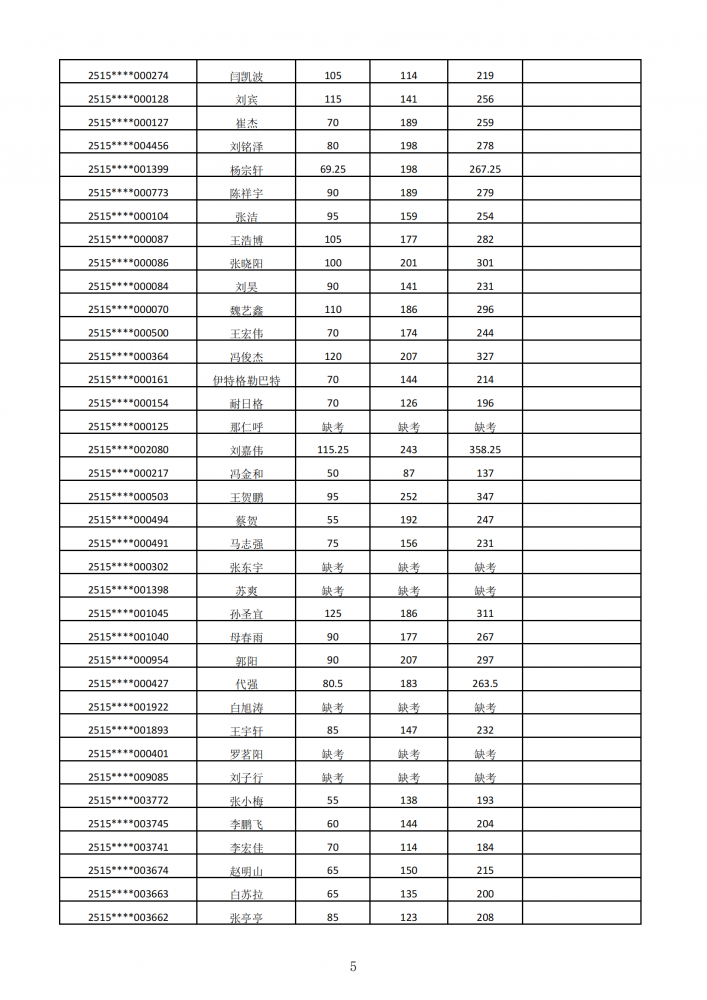
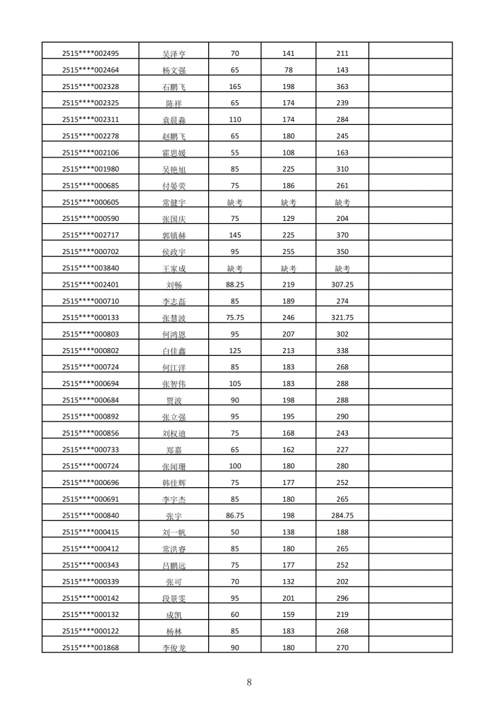
内蒙古能源职业学院2025年第二次单独招生考试成绩公示
发布时间:2025年04月21日 来源:本网原创 浏览:7537次

在线留言

看不清楚请点击刷新验证码
  • 地址:呼和浩特市新城区新尼路(生盖营村北900米)
  • 联系电话:0471-3327694 0471-3291442
  • 传真:0471-3298208 QQ:373860420
  • 校企合作电话:18639714313
  • 电子邮箱:nmny2010@163.com
  • 网信科:15847663230
二维码
二维码

Copyright C 2020-2023 All Rights Reserved 版权所有 内蒙古能源职业学院
蒙ICP备12000892号-1 蒙公网安备 15010202151008号